
2 LITERATURE REVIEW 
2.1  BIM Quantity Takeoffs 
While traditional estimation methods conduct 
quantity takeoffs from 2D CAD drawings, a BIM 
tool can obtain the required data and measurements 
for quantity takeoff from a 3D model (Rundell 2006; 
Shen and Issa 2010). Recently, many researchers in 
Taiwan have developed BIM-based tools to support 
quantity takeoffs. For example, Chen (2011) used 
Autodesk Revit to perform quantity takeoffs for a 
twelve-story reinforced concrete office building. His 
study showed that the quantities of concrete and 
steel extracted from BIM were 0.5% and 3.7% less 
than the conventional estimation, respectively. Chai 
(2012) developed a Revit API program to 
automatically calculate the quantities of forms. 
Regarding the quantities of forms, for instance, the 
BIM generates the results were close to the ones 
calculated manually, with only 1% difference. 
2.2  BIM and Cost Estimates 
Eastman et al. (2011) pointed out that although there 
are BIM-based quantity takeoffs tools available to 
assist the cost estimates, there is no BIM software 
with full estimation functions. Therefore, a cost 
estimator must either export the BIM quantities into 
the cost estimation software, Link the BIM tool 
(software) to the cost estimation software through an 
API, or export BIM model data into a BIM-based 
cost estimation software (Rundell 2006; Eastman et 
al. 2011). 
3 MODEL FOR ESTABLISHING A 
S-CURVE 
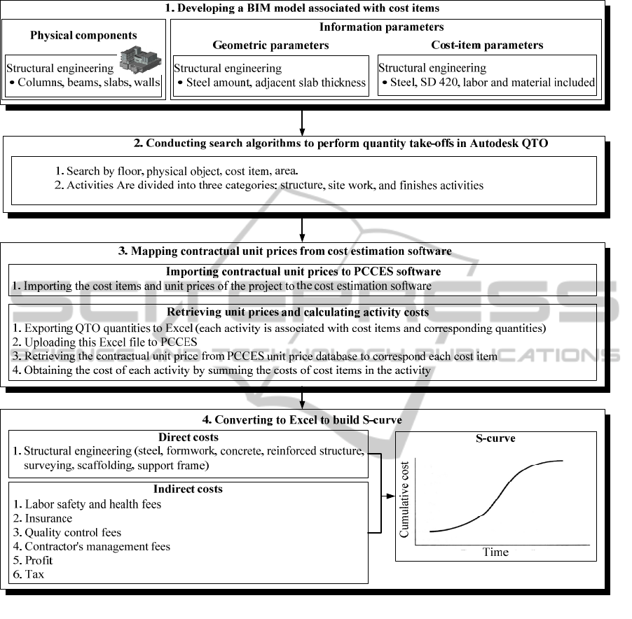
This study proposes a model to establish S-curves of 
construction projects. The proposed model consists 
of four steps, as shown in Fig. 1: (1) developing a 
BIM model associated with cost items, (2) 
conducting searching algorithms to perform quantity 
takeoffs in Autodesk QTO, (3) mapping contractual 
unit prices from cost estimation software, and (4) 
converting to Excel to build a S-curve. These four 
steps are described in the following subsections. 
Step 1:  Developing a BIM Model Associated 
With Cost Items.  
In the proposed model, first, a BIM model with the 
level of detail (LOD) 300 must be built. This BIM 
model is composed of physical components and 
information parameters. Physical components are 
such as columns, beams, walls, slabs, doors, 
windows and rooms. 
The information parameters in each physical 
component are divided into two parts: additional 
geometric parameters and cost-item parameters. 
Besides to the geometric data (such as length, width, 
height, area, and volume) of a physical component, 
additional geometric parameters are required to 
conduct quantity takeoffs. For instance, the 
information required to conduct the quantity takeoffs 
for the steels of a wall include: the data of length and 
height of the wall from the common geometric 
parameters; and, the data of spacing of horizontal 
bar, spacing of vertical bar, steel unit weight, and the 
number of bar layer for this wall from the additional 
geometric parameters. 
To add the cost items associated with each 
physical component, this study uploads the 
contractual cost items to the Revit using the 
"keynotes", "assembly codes", and "family type 
catalogs" functions in Revit. This step sets a base to 
enable each physical component to map the cost 
items that specify the construction materials used in 
erecting the component. 
Step 2:  Conducting Searching Algorithms to 
Perform Quantity Takeoffs  
in Autodesk QTO. 
The model proposes to apply the search takeoff tool 
in Autodesk QTO to create takeoff objects (that is, 
cost items associated with each activity) and then 
quantify the objects. To specify the takeoff objects 
needs to set search criteria first. The proposed search 
algorithm defines various search criteria (floor, 
physical object, cost item, and area) with respect to 
different types of scheduling activities (structure, 
site work, and finishes activities). 
For example, the structure activities are such as 
setting steel of 1st floor columns/walls, setting steel 
of 1st floor beams/slabs, setting form of 1st floor 
columns/walls, setting forms of 1st floor 
beams/slabs, etc. Thus, in the structure activities, the 
search criteria are floor (1st, 2nd, 3rd, etc.), physical 
object (column, wall, beam, and slab), and cost item 
(involved construction materials).  
Specifically, for instance, activity “setting steel 
of 1st floor columns/walls” includes two physical 
components: columns and walls. Each component is 
associated with two cost items, namely, “steel, 
SD420, labor and material included” and “steel, 
SD420W, labor and material included”. The takeoffs 
of steel in this activity are performed in four steps: 
ICSOFT-EA2015-10thInternationalConferenceonSoftwareEngineeringandApplications
140